这可能是你见过最丑机器人:像“毒液”般随意变形还能重生

科技4年前发布 社科兔
250 0 0

  它像毒液,只不过毒性要轻得多。

  撰文 | 栗子

  审校 | 王怡博

  有一只来自外星的生命体,它能寄生在人类身上,并赋予宿主强大的能力:像流体一般随意变形和拉伸,进入狭小的空间实施破坏行动。它就是“毒液”。

  虽然这种生物是虚构的,但香港中文大学有一群科学家,还是受到“毒液”的启发,制造出了一种史莱姆机器人,同样拥有惊人的变形能力,同样能在逼仄的空间里自如穿梭,执行特殊的任务。不同的是,研究者给它设定的任务并不是破坏,更多的是拯救。

  这只机器人虽然相貌不算喜人,甚至有种粪便的气质,但在人类的隔空操控之下,它能用身体“吞食”微小的物体;还可以用顺畅的动作紧紧裹住铜线,甚至修补断开的电路。

  科学家希望,这样灵活的机器人未来可以进入人体提供服务,不过究竟是怎样的服务呢?

  史莱姆拥有变身的魔力

  史莱姆(Slime),一种黏稠滑嫩又富有弹性的物体,十分擅长变形,在奇幻作品里常常展现出令人叹为观止的魔力。回到现实,史莱姆脱去了超自然的光环,但它黏稠又富有弹性的物理属性依然存在,能屈能伸,捏上去的手感令人愉悦,也因此成为人类的玩具。

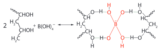
  制作史莱姆时,最简单的配方就是聚乙烯醇(PVA)与硼砂的组合,再加上水。其中,PVA常用于制作增稠剂:这种高分子化合物中含有大量的羟基(-OH),与水相遇便会形成许多氢键,帮助增加粘稠度。一般来说,PVA聚合度越高,它的水溶液也越容易变得黏稠。

  假如再把硼酸加入PVA的水溶液,它会以硼酸根离子的形式存在。这种离子有四个氢氧根,可以和PVA中的羟基(-OH)形成氢键,让PVA大分子们相互交联起来,有助于形成稳定的网络结构,制做更黏稠而有弹性的史莱姆。

  我们把史莱姆捏在手里,就能轻易改变它的形状,甚至让人疑惑它究竟是固体还是液体。其实,这是一种非牛顿流体(non-newtonian fluid)。我们常见的水和油都是牛顿流体,粘性是恒定的,或者说流动能力是恒定的。而非牛顿流体的粘性并不恒定,根据受力的不同,史莱姆可以变得更像液体,也可以变得更像固体。它在中文里还有另一个动人的名字,叫做“鬼口水”。

  香港中文大学的科学家们开发“毒液”机器人时,也利用了同样的原理。只不过,他们在PVA和硼砂这两种原料之外,还加入了钕磁铁(neodymium magnet)颗粒。这样一来,一只单纯的史莱姆,就变成了可被操控的机器人。

  机器人诞生之后,科学家首先便要考验它的变形技能。当然不是动手捏它,而是从外部施加特定的磁场,让史莱姆机器人变成想要的形状。团队先在模拟器里做了测试,圆形的铁磁体能让机器人变成圆形,更复杂的环形和六角星的形状,也都能依靠同样的方法来实现。

  而在现实当中,科学家把一只直径9毫米的小机器人,放在聚甲基丙烯酸甲酯(PMMA)基板上,基板下方4毫米处有一块永磁体,从机器人的正下方开始奔向远方。随着永磁体越跑越远,机器人的身躯也逐渐拉长,从那个直径9毫米的“球”,伸展为一条60毫米长的“蛇”,大约是自然长度的7倍。

  科学家说,出色的变形能力,让机器人自如地拉伸。与此同时,机器人受到的摩擦力以及磁场的设置,也让它把一部分留在原地,留在每一个曾经路过的地方。这样,人们便可用肉眼观察它能拉伸到怎样的程度。

  既然机器人可以画出自己走过的路径,科学家也不会只让它画条简单的直线。他们修改永磁铁的运动轨迹,便令史莱姆机器人写完了港中大的缩写“CUHK”;又用COMSOL Multiphysics软件还原了史莱姆的拉伸过程。

  人类误吞了纽扣电池怎么办

  研究团队希望,史莱姆机器人可以利用它的变形能力,在各种难于通行的空间里穿梭,执行从前难以完成的任务。

  于是,他们为机器人设计了高难度的运动任务,首先就是狭窄通道。“游泳池”中的通道(上下不封口)直径从6毫米开始,缩窄到4.5毫米、3毫米,甚至1.5毫米。结果,机器人在磁铁的指引下成功游过了这4条通道,虽然1.5毫米的那条通道,花了大约180秒才完成通行,但在科学家们看来过程是顺利的。但这只是第一项任务。

  第二项任务中,机器人要穿行的通道变成了四周有壁的管道,且管中不再有液体,任务路径也不再是直线而是有了曲折。靠着磁铁的操控,1毫升大小(若换算成正方体,棱长约有10毫米)的机器人,轻松通过了直径仅5毫米的迂回管道。第三项任务更复杂,科学家除了设置必经的通道,还额外添加了一些无用通道,从而形成一个“迷宫”,且有些路宽有些路窄。这一次,机器人依旧与磁铁配合默契,到达终点。

  第四项任务,史莱姆机器人需要在不平坦的路面上通行,地势有高有低,相邻的两个高点大约距离6.28毫米,而高点与低点之间的垂直距离也有3毫米。结果,这种地形还是没有难倒善于变形的史莱姆机器人。

  通过这些测试,科学家对机器人的适应能力感到欣喜,他们认为这可以有效减少对周围环境的破坏。之所以提到这一点,是因为研究团队希望磁性史莱姆有一天能进入人体执行任务。

  至于是怎样的任务,科学家把纽扣电池夹在猪的大肠内壁,模拟人类误吞的场景:30分钟后纽扣电池便对肠壁造成了明显的损伤。那么,机器人需要拥有抓取物体的技能,才有机会避免此类伤害。

  于是,研究团队用一块满是褶皱的模拟胃部模型来测试史莱姆机器人的能力,然后发现它在磁场的作用下走过凹凸不平的道路,几十秒便来到纽扣电池近旁;并卷曲自己的身体,迅速包裹住纽扣电池,防止它继续对“人体”造成伤害。

  当然,在机器人真正进入人体服役之前,它自身的材质首先不能对人体造成伤害。而史莱姆体内的钕磁铁就有毒性,为了避免它与人体接触,科学家用比较稳定的二氧化硅涂层包在它的外面,但安全性还需要得到进一步的证实。

  被切断还能自我修复

  除此之外,史莱姆机器人还有一项重要的技能,就是“自愈”。

  科学家把一块史莱姆染成蓝色,另一块染成绿色。然后,将这两块史莱姆各切两段,再让四只小史莱姆排成一排,蓝色与绿色相隔。自愈过程就此开始。很快,它们重新合体成为一只大史莱姆,而颜色变化的部位便是连接处。

  为了测试重连后的史莱姆是否依然强韧,科学家把它拉伸到自然长度的8.6倍,蓝色和绿色交替的位置也没有发生断裂。也就是说,自愈后的史莱姆保持着良好的可塑性,连接处也没有变得十分脆弱。注意,这项实验当中的史莱姆,并未添加磁性颗粒。

  研究团队认为,史莱姆强大的自愈能力,是源自硼酸根离子与PVA中的羟基形成的氢键。当史莱姆被切断的时候,断面处有氢键生成,可以迅速触发自愈机制,不需要接受任何外部刺激,便能让结构重新变得完整而强韧。

  而加了磁性颗粒的史莱姆,被切成五段再隔开摆放,它依然能恢复成圆满的形状。科学家制造的史莱姆具有导电性,只要把它两端连上铜电极,就可以通过电阻的变化测量出自愈有没有完成。史莱姆被完全切断时,电路是断路,电阻无穷大;而史莱姆自愈完成时,电阻会降到最低。

  而测量结果也的确展现出了机器人高效愈合的能力,一只史莱姆从被切断到完全愈合,平均只需消耗3.2秒。这也让研究团队受到鼓舞。

  从前,有弹性的机器人不少,但那样的机器人变形能力有限;从前,基于流体的机器人不少,但那样的机器人通常不稳定,也难以适应环境。如今,科学家们在史莱姆机器人的身上看到了潜力,并希望它有一天可以成为手术工具。团队打算申请动物实验的许可,假如结果理想,他们期待五年内能在人体内对这种机器人进行测试。

  原论文:

  https://onlinelibrary.wiley.com/doi/abs/10.1002/adfm.202112508

  参考链接:

  https://www.scmp.com/news/china/science/article/3173742/how-superhero-film-venom-inspired-scientists-create-magnetic

  本文转自《环球科学》

© 版权声明

相关文章

暂无评论

none
暂无评论...